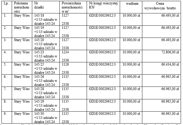
Zachęcamy do zakupu atrakcyjnych działek budowlanych już od 66 493,00 zł zł w miejscowości Stary Wiec
Działki są objęte miejscowym planem zagospodarowania przestrzennego i przeznaczone pod zabudowę mieszkaniową jednorodzinną. Posiadają dostęp do sieci wodociągowej, która znajduje się w drodze wewnętrznej.
Nieruchomości położone są w malowniczej, spokojnej i cichej okolicy, otoczonej lasami. W pobliżu znajduje się wiele jezior – najbliższe z nich oddalone jest zaledwie o 2 km.

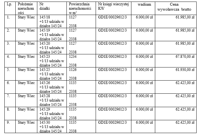
We wskazanych wyżej cenach wywoławczych naliczono podatek 23 % VAT. Na wyżej wymienionych nieruchomościach nie ciążą obciążenia ani zobowiązania.
W Starym Wiecu niedawno powstał nowoczesny plac zabaw, co czyni to miejsce idealnym dla rodzin z dziećmi. W niedalekiej odległości (około 10 km) położona jest główna miejscowość gminna, gdzie znajdują się sklepy, ośrodek zdrowia i niezbędna infrastruktura.
Przetarg odbędzie się 29 stycznia 2026 roku od godz. 9.00 w budynku Urzędu Gminy Liniewo przy ul. Dworcowej 3, w biurze nr 11.
Warunkiem przystąpienia do przetargu jest wpłacenie wadium przelewem w wysokości podanej powyżej, odpowiednio do poszczególnej działki (z podaniem numeru i miejsca położenia działki), w terminie do dnia 26 stycznia 2026 roku, na konto Urzędu Gminy Liniewo Nr 48 8340 0001 0100 1876 2000 0003 Bank Spółdzielczy Starogard Gdański /oddział Skarszewy, przy czym za datę wpłaty wadium uważać się będzie datę wpływu pieniędzy na konto sprzedającego. Wadium wpłacone przez uczestnika, który wygra przetarg zostanie zaliczone na poczet ceny nabycia nieruchomości. W przypadku uchylenia się przez tę osobę od zawarcia umowy sprzedaży nieruchomości wadium przepada na rzecz Urzędu Gminy Liniewo.
Nabywca nieruchomości ponosi koszty sporządzenia aktu notarialnego.
Szczegółowe informacje w sprawie przedmiotowego przetargu można uzyskać w Urzędzie Gminy Liniewo 83-420 Liniewo ul. Dworcowa 3, Tel. (058) 687-85-26 oraz na stronie https://liniewo.biuletyn.net/?bip=2&cid=282&id=7461












